让春天多一份书香,怎样?

3月21日起,本市新华书店、上海书城、古籍书店、上海外文书店、思南书局、朵云书院、上海三联书店、钟书阁、博库书城、上海大众书局、读者书店外滩旗舰店、现代书店、言几又、大隐书局、衡山•和集、建投书局、百新书局、博林书城等58家实体书店,联合推出“上海书展·阅读的力量”春季图书大联展特别活动。
活动期间,各大书店在实体店堂特设展销专柜专架,悬挂书店特色活动海报,以八折购书优惠,集中展销超过100种精选图书。这批图书以社科、文艺、少儿类为主,是最近半年在各类别图书销售排名行榜中名列前茅的畅销品种,包括去年年底至今的口碑新书。
在此基础上,各大参展书店还根据自身特色和专业定位,推出契合自家特质的荐读书目,形成各大书店为自家读者特别推出的“定制书单”。
同时,参展书店也积极运用和拓展网络渠道,如通过社交媒体和电商平台等,配套开展线上销售和阅读互动活动,通过文化惠民,营造健康向上的阅读风尚,为市民百姓奉上精美实惠的精神食量。
新华传媒旗下的上海书城、新华书店,在本市16个区的16家门店积极推出“主题图书专柜8折销售”活动,为市民优惠让利,引导文化消费,拉动图书销售。

同时,还为宅在家中却有广泛文化需求的市民读者推出一系列云直播活动,向广大市民传递阅读的力量。“海上名医”健康讲堂直播已完成30余场,目前还有7场直播待播;“虎爸虎妈”员工直播第一季圆满收官,第二季“虎爸虎妈的宝藏新书”正在紧锣密鼓地策划中,4月初重磅回归;“书集访谈”直播活动将于3月26日14:00在“上海书城旗舰店”京东直播间推出,精剪版视频也会在各大视频网站同步上线。
世纪出版集团旗下上海图书有限公司古籍书店、艺术书坊,上海外文书店、朵云书院、思南书局等6家书店推出数百种精选图书,以八折购书优惠。
联展期间的两个周末(3月21日-22日、3月28日-29日),思南公馆花墙广场上将现身露天的“朵云书集”,展销“好中选优”的精选图书,包括金宇澄小说珍贵签名本,《朵云•繁花》金宇澄个人版画展铜版画制作体验等,这也是“思南书集”离开读者视线3年后,世纪朵云全新推出的书集,希望能给新老读者带来不一样的感受。

古籍书店以“知古鉴今 书香致远”国学经典为主题,聚焦诸子百家、两汉经学、唐宋诗词、历代史学等领域。
艺术书坊推出“君子知味”茶文化主题。上海外文书店举办“阅读中国——外文版中国文化系列主题图书展”和“原版世界经典文学名著主题图书展”两大主题,推动中西方文化的交流互动。
朵云书院旗舰店(上海中心店)以“我们可能错过的好书”为主题,精选《凌听》、《敦煌》、《草叶手帖》等一批图书。

思南书局•诗歌店推出“我们还有诗和远方”的主题书区,推荐《我是你流浪过的一个地方》、《不如让每天发生些小事情》、《当你老了》等暖心诗歌作品。
思南书局复兴中路店以“一起啃掉大部头”为主题,挑选《尤利西斯》、《4321》、《魔山》等书籍,向读者倡导“在碎片化阅读的当下耐下心来读一本书”。
其他参展书店也纷纷整合线上线下资源,以多元丰富的形式,扩大联展活动的辐射面和受惠群体。如位于外滩的读者书店线上线下同步推出“修身静心”主题阅读解决方案,推出“静心书单”和优惠文创产品,设置场景化角落,为读者提供放松的空间。
博库书城除推出春季图书大联展活动外,还同期与徐汇区图书馆联合举办阅读福利“你选书,我买单”活动,读者可凭上海市图书馆借阅证,在店内选择百元以内的新书直接借阅带回家。
上海三联书店和出版社通过微信、微博、抖音、B站、读者微信群、店内电子屏海报等多渠道同步推广本次活动并推出网上直播。

“上海书展•阅读的力量”春季图书大联展特别活动在市促进全民阅读办公室推动下,由上海市书刊发行行业协会倡议并组织。活动自3月21日开启,4月3日结束,为期两周。
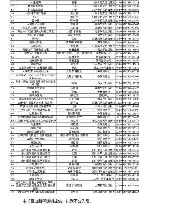
春季图书大联展参展书店+书目



来源:周到上海 作者:徐颖
