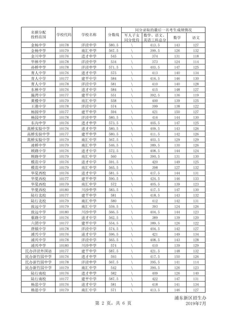
2019上海中考各区零志愿、名额分配志愿学校录取分数线公布 杨青霞 2019-7-13 来源:周到上海 今天,2019上海中考各区零志愿、名额分配志愿学校录取分数线公布! 黄浦 徐汇 长宁 静安 普陀 虹口 杨浦 <零志愿> <名额分配> 闵行 宝山 <零志愿> <名额分配> 嘉定 浦东 金山 青浦 奉贤 松江 来源:周到上海 作者:杨青霞 赞一个 (0)